市场新闻

Market News

因为专注,所以专业

整流桥模块单级PFC半桥稳态解析

来源:市场新闻 | 时间:10-19
为确保高的功率因素单级PFC线路的PFC级运行在DCM,而DC/DC级运行在CCM下,要留意线路功率平衡的现象。

当输出功率减少的情况下,则前级boost线路占空比会减少,则DC/DC级的占空比也会减少(因为共用开关管),便会造成直流母线上的电压提升进而缩窄脉宽做到新的功率平衡。反过来当输出功率提升的情况下,则前级boost线路占空比会提升,则DC/DC级的占空比也会提升(因为共用开关管),便会造成直流母线上的电压下降进而做到新的功率平衡。

因此 轻载下,直流母线电压会到达满载情况下的好几倍之上,这就束缚了单级PFC的实践使用。一般选用的办法是对直流母线采用钳位办法,或当电压上升到一定的值,让DC/DC级也进到DCM模式。当负载变轻时,占空比自然会减少,于是没有不平衡功率出现,储能电容的电压并不会因负载变轻而增多。但这类组合存在导通耗损和功率开关电流应力大,效率低的缺陷

假设开关频率远高过电网频率。可令:
在这,Vim为輸入电压的峰值。倘若PFC级占空比为D,开关周期为T,能够取得輸入电流的低频均值表达式:
那输入功率为:
将式(2)和(3)代入式(4),能够的到
在这
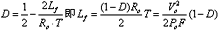
对于DC/DC级,连续模式和断续模式的临界点条件

的情况下将会进到连续模式,这时电压关系式为

的情况下将会进到不连续模式,这时电压关系式为:

在这

由前边的推论得知通过合理的选择Lf等参数(根据

此式来选取)当负载变轻时使DC/DC级也进到DCM模式。当负载变重时使DC/DC级也进到CCM模式来减少电容电压。


上述便是西班牙CATELEC介绍整流桥模块单级PFC半桥稳态解析,西班牙CATELEC提供整流桥模块、晶闸管模块、二极管模块等半导体模块,绝缘式功率模块、功率组件、分立式功率半导体在内的众多功率电子产品是现CATELEC模块的主营项目。近期CATELEC产品将部分模块改进为以铜底板安装、增加厚度、增大了模块的散热接触点、大大提高了模块的使用寿命与性能。
TAG:
热线电话18101552298